中国科大蔡一夫教授带领国际合作团队发现了婴儿宇宙处在高能物理的“沙漠”能区时,存在原初引力波共振的非线性理论现象。原初引力波信号通过该现象过程,能给被共振放大4至6个数量级乃至更大,从而被原初引力波探测器检出,可用于验证某些传统物理“不可触及”的宇宙起源理论模型。这个新结果可以为国际上盛行的原初引力波探测实验建设提供重要科学目标,也为搜寻超出粒子物理标准模型的高能新物理打开了一扇窗口。该成果以“Beating the Lyth bound by parametric resonance during inflation”为题,发表在国际知名学术期刊《物理评论快报》。
如果将现在的宇宙比喻为一名成长的孩童,那婴儿时期的宇宙中,现在所有的物质和暗物质都曾经是以极为微小的基本粒子的形态存在。“婴儿宇宙”温度极高,远超现在高能物理实验中能触及的最高温度(能标)。这段时期的物理被称为高能区新物理,因为超出当前探索能力,被称为高能物理的“沙漠”区域。
当前探索宇宙起源的主要科技手段是去搜寻来自宇宙创生时期的时空涟漪,也就是原初引力波。它就像留声机一样忠实地记录了宇宙在古早时期所发生的一切。然而,这些时空波动的幅度大小正是直接由婴儿时期的宇宙能标所决定的。因此,能否捕获到原初引力波几乎成为了人类是否还有机会走出婴儿宇宙的“沙漠”地带,并寻找到超出粒子物理标准模型的高能区新物理的唯一关键线索[注释]。
“暴胀宇宙”是宇宙起源和高能区新物理的代表性假说,该观点认为,宇宙在大爆炸创生之后约10^-30秒的一瞬间,体积急剧放大了约10^80倍。宇宙微波背景辐射天图部分验证该理论。但原初引力波作为暴胀学说另一重要预言,迟迟未被捕获。原初引力波已成为国内外多个宇宙学实验重点搜寻对象。一旦人类成功捕获到原初引力波,宇宙是否发生过极早期的暴胀过程可以得到盖棺定论的检验,高能区新物理能标也可精确测定。但如果暴胀恰好发生在婴儿宇宙的高能物理“沙漠”能区(高于当前人类能触及的最高能标,即对撞机实验能标,但又远低于相互作用大统一的理论能标),相应产生的原初引力波信号幅度会非常小,几乎不能被宇宙学探测技术所察觉。传统的学术观点因此认为在这个能区范围去搜寻原初引力波以及其相关新物理是“不可能完成的任务”。
在本研究中,蔡一夫团队引入了一个具有参数共振演化行为的重场,使其与原初引力波发生非线性耦合,从而为原初引力波的共振增益提供了能量来源。并且暴胀背景演化的特殊动力学性质(专业术语为,慢滚暴胀)可使该重场和传统的原初物质扰动之间几乎互不干扰,从而确保暴胀学说与当前的宇宙学观测能够完美契合。
本研究通过构造一个具体的模型范例,精准地论证出:即便婴儿宇宙是在超出粒子物理标准模型的“沙漠”能区经历的暴胀过程,也能产生足够大的原初引力波,从而理论上说明高能物理的“沙漠”也可能存在生机盎然的新物理“绿洲”。

图1:高能区的物理沙漠中,存在着一小片新物理绿洲,由共振增益机制放大到可观测的范围,被原初引力波望远镜探测到。图片来源:欧洲空间局/普朗克合作组
根据本研究预分析,这个通过非线性共振过程产生原初引力波的新理论起源机制有望在不久将来的宇宙微波背景辐射实验中得以检验,例如国际的LiteBird小鸟太空望远镜,以及中国的阿里原初引力波实验等。

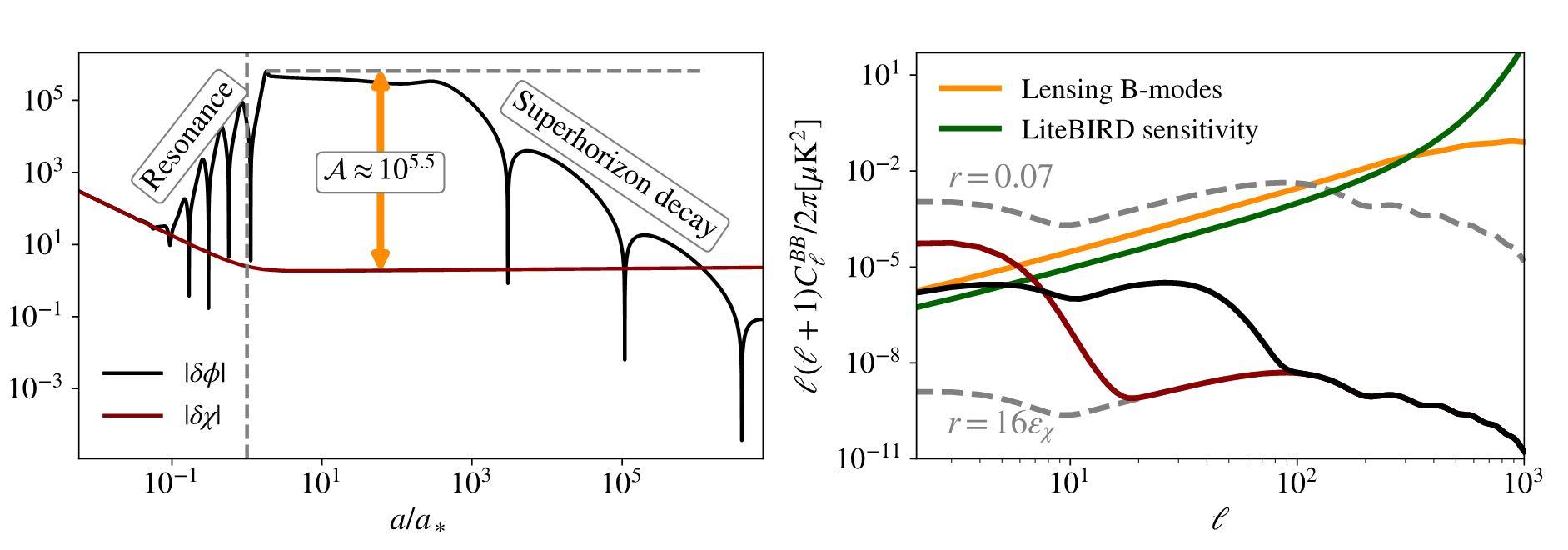
图2:左:参数共振重场的幅度增益(黑线)以及与传统原初物质扰动的比较(红线);右:新提出的原初引力波共振产生机制所给出的理论预言信号(黑线、红线)与国际LiteBird小鸟太空望远镜探测能力(绿线)的比较。
本工作国际合作团队人员有:日本东京大学数物连携研究所佐佐木节(Misao Sasaki)教授、博士后Valeri Vardanyan、中科大物理学院博士生江捷、本科毕业生周子涵(现美国普林斯顿大学物理系博士生)。
本研究获得科学技术部国家重点研发计划“引力波探测”重点专项、国家自然科学基金委应急管理项目、国际(地区)合作与交流项目、教育部中央高校基本科研专项、国家留学基金委创新型人才国际合作培养项目、中国科学院基础研究领域优秀青年团队、中科大国际化发展基金的资助。
注释:严格来说,引力波探测只是多个寻找超出粒子物理标准模型新物理的科技手段其中一种,还有传统对撞机科学、高能宇宙射线等;引力波探测目标中,除了原初引力波,还有相变引力波、原初黑洞诱生引力波等。但这些技术手段要么离高能物理的“沙漠”能区相差甚远,要么背后的物理理论还存在不确定性。而原初引力波,只须热大爆炸宇宙学说成立,就必然存在。因此对它的科学探索几乎成为了人类走出婴儿宇宙的“沙漠”能区并找到新物理的唯一关键线索。
论文链接:https://journals.aps.org/prl/abstract/10.1103/PhysRevLett.127.251301
(物理学院、中科院星系宇宙学重点实验室、科研部)