
咳咳,这里说的坏了的飞机可不是载着一大波乘客的飞机在天上坏了。

而是有这样一个神秘而专业的组织(bushi),他们的任务就是想方设法怎么样把一个好好的飞机飞坏。

这份工作就是飞机试飞,”组织”相关单位就是中国飞行试验研究院(中航工业试飞中心)简称试飞院。飞机试飞是指飞机在正式使用前进行试验性飞行,掌握飞机各个部分产生形变的程度、形变极限以及在可承受范围内的极限速度、压强等条件信息。试飞又分为工程试飞、定型试飞、武器打靶试飞三个阶段,在这里我们重点关注的是近乎破坏性的试飞,就是——把他飞坏需要什么条件?如何定量又直观的确定它“坏”到了什么程度呢?

传统的方法是根据经验丰富的试飞员设置标准,记录机翼的累计飞行时间,达到一定时长后,就需要更换机翼。

而形变测量是就是通过测量获取变形前后的点位高程、坐标等有效数据加以比对,通过测量不同时期的相关数据的变化,进而确定被观测物体的形变程度。常规的测量技术包括全站仪观测法、摄影测量法、三维激光扫描法、BIM可视化建模法等。

什么是近景摄影测量?
此摄影非彼摄影,摄影测量是指运用摄影机和胶片组合测量目标物的形状、大小和空间位置的技术。对被观测物体进行多次反复拍摄,将因为不同点位相机所拍摄的相片具有一点重叠,同一位置在不同相片上的点称之为同名点,利用同名点、同名线的相对位置关系,即可将二维影像信息转换成三维模型。

(就像这个小熊)
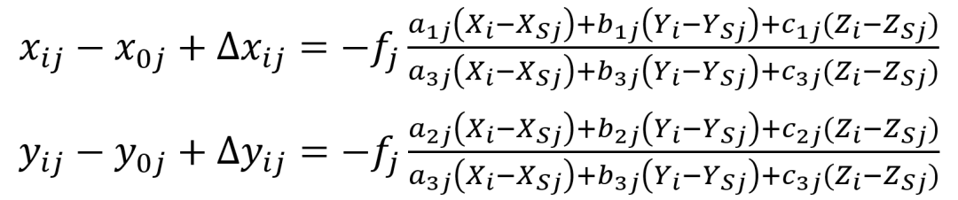
共线条件方程表示,在摄影瞬间,像投影中心、物点和像点位于同一条直线上:

由于飞机长得三扁四不圆,不同试飞任务下形变测量位置存在差异。我们将飞机整体分为四部分:机身部分、机翼部分、尾翼部分、动力装置部分。这样的区域划分,有助于通过影像判断获取数据位置信息以及后续影像拼接。
通过在机身上部分特征点,结合三维激光扫描技术获取三维坐标信息,得到部分特征点之间相对位置关系,从而在飞机上建立独立坐标系,将地面的三维坐标数据与飞机坐标系结合。经过一系列骚操作后,建立供控制点观测的一级控制网。而所谓特征点,就是有特征的点(feihua),而飞机表面色调单一,缺少纹理,(就是说没啥特征),需要在机翼、机身重要组成部分张贴人工标志。长这样↓,以便影像采集过程的自动识别与测量。

球形标靶
但考虑到张贴、取下标志点较为耗时(又累人),采用投点仪进以有效地减少贴人工标志的时间,但仍需少量特征点满足后续三维激光扫描坐标采集,转换的需求。


PRO-SPOT投点器

什么是三维激光扫描呢?
三维激光扫描,是通过扫描仪发射激光测量被测物体表面与扫描仪之间的斜距、水平角、垂直角,从而建立二者间相对位置关系获得被测点位三维数据,即得到的坐标是扫描仪与被测点的空间相对坐标。

扫描仪采集数据空间相对位置坐标系
XP=Scosβcosα
YP=Scosβsinα
ZP=Scosβ
而手持式三维扫描仪,在对飞机进行扫描时,配合全局摄影测量系统,消除累计误差提高精度。采用多条线束激光来获取物体表面的,点位信息通过视觉标记来确定扫描仪在扫描过程中的空间位置,完成物体表面的三维点云整体重构。由于该项目涉及到保密问题(┓( ´∀` )┏),采用小飞机模型模拟飞机表面建模过程,实现对含有点位信息的数据进行可视化操作,对比飞之前和飞坏后的三维模型,就可以直观准确的知道,在特定条件下,哪个部位更容易坏,或者在某极限速度或压强下,机身发生断裂凹陷到什么程度。

摄影测量MeshLab建模示意图
就这样,我们完整的了解了飞机试飞从测量破坏程度到可视化的过程。由于篇幅原因,不同坐标轴的转换以及误差分析的工作并未一一展开。飞机试飞工程,是确保飞机飞行安全的重要保障,是国家航空航天领域重要的一环。可见地学作为重要的基础学科,在各个的重要领域熠熠生辉、发光发热。
END
(责任编辑:陈卓)
(版权说明,转载自:石头科普公众号)
 
					 
					