漫画 | 在绝对零度附近,用锂原子制造超流体的“超级小白鼠”

在实验室里观察霸王龙走路分几步?答案是两步。
第一,你需要买到一只活鸡和一根马桶搋子。
第二,把马桶搋子装在鸡屁股上。当当当当,你看看谁来了?

图片来源见文末
显然,在实验室里观察霸王龙走路,并不一定得把霸王龙真的请进实验室。你完全可以找到一种动物(鸡),对它进行改造。只要让它走路的姿势跟霸王龙很像就可以了。

从这个思路出发,物理学家发现,有些无法近距离观察的物理现象,比如中子星外壳如何影响中子星的自转,有些无法长时间观察的物理现象,比如夸克胶子等离子体(据信这是在宇宙大爆炸后最初20或30微秒存在的物质状态),在某种程度上都可以在实验室中仔细地、长时间地研究。

你只要能找到一种材料,创造合适的条件,让它的物理性质跟中子星的外壳和大爆炸早期的夸克胶子等离子体很像就可以了。


这个实验的内容叫作:
在处于强相互作用(幺正)
极限下的费米超流体中
观测第二类声波的衰减特征。
虽然实验内容看起来很高大上,但他们所用的实验材料却很普通,那就是每个人每天都要在手机中用到的一种化学元素:锂!

这个令人眼花缭乱的操作到底是怎么回事呢?
(一)什么叫费米超流体
首先我们要知道,不管是中子星的外壳,还是大爆炸早期的夸克胶子等离子体,它们虽然温度不同,密度不同,物质的组成不同,内部的相互作用也不同,但它们在物理学中属于同一种物质状态,叫作费米超流体。

什么叫超流体呢?你可以把超流体理解成一种“无视”摩擦力的流体。
比如,如果把液氦(氦-4)的温度降低到2开尔文附近,它就会突然变成一种奇妙的状态 —— 超流体状态。这时,当我们把它放进一根细管子中后,一旦它开始流动,就会一刻不停地流动下去,不像我们平时见到的水那样,流着流着就会在摩擦力的作用下慢慢停下来。

物理学家推测,中子星的外壳,和宇宙大爆炸早期的夸克胶子等离子体,就处于这样一种无视摩擦力的超流体状态。如果你要问为什么,我只能回答:因为量子力学。(超流体是量子力学中特有的流体状态。)

费米超流体属于一种特殊的超流体。就像普通的鸡肉就叫鸡肉,但豆腐做的“鸡肉”要叫素鸡一样。物理学家管他们最先了解的、由氦-4原子这样的玻色子组成的超流体叫超流体,而管他们后来才了解的、由中子、夸克这样的费米子组成的超流体叫费米超流体。

从这个怪怪的名字我们可以看出,如果想要在实验室里“将一种材料置于极端条件下”,使之形成一种费米超流体,从而拥有与中子星的外壳和夸克胶子等离子体相同的物理性质,最好的办法肯定不是研究物理学家最熟悉的氦-4超流体。

因为氦-4原子属于玻色子,它形成的超流体不属于费米超流体。

所以,研究组在元素周期表上向前走了一步,把实验材料确定为锂-6原子。因为锂-6原子属于费米子,如果它能形成超流体,就应该是跟中子星的外壳和夸克胶子等离子体类似的费米超流体。

那么,是不是把锂-6原子弄来,把它的温度降低到绝对零度附近,让它形成费米超流体,物理学家就大功告成了呢?
(二)什么叫强相互作用
极限下的费米超流体
事情没有那么简单。这是因为,中子星的外壳和夸克胶子等离子体不是普通的费米超流体,而是一种存在很强的内部相互作用的费米超流体。

要想模拟这样的费米超流体,物理学家就得照方抓药,让锂-6原子们在进入超流状态时,保持着“高强度的相互作用”。

那么,锂-6原子的相互作用强度多高才算高呢?研究组一不做二不休,把锂-6原子的相互作用强度调到了极限。用物理学的黑话来说,叫作“散射长度无穷大”。不严格地说,你可以理解成,“在这种费米超流体中,无论两个锂-6原子相距多远,它们的状态都会相互关联在一起。”

在量子力学中,相互作用达到的强度极限又叫作幺正(unitary)极限,所以研究组让锂-6原子们进入的状态就叫“处于强相互作用(幺正)极限下的费米超流体”。

实现强相互作用(幺正)极限有一个好处,就是此时费米超流体的物理特征具有普适性,跟你制造它时用了什么材料,用了什么形式的相互作用不搭噶。
打个比方,医学家在试验新药的时候,总是会先让小白鼠吃,再让人吃。可是,小白鼠毕竟跟人不完全一样,小白鼠吃了管用,人吃了可不一定管用。这样的小白鼠就缺乏普适性。

然而,假如世界上存在一种“超级小白鼠”,它除了长得像白鼠之外,生理特征跟人类完全一样。那么,一种药只要它吃了管用,人吃了就一定管用。这样的“超级小白鼠”在医学上就拥有普适性。

实验组利用锂-6原子实现的强相互作用(幺正)极限下的费米超流体正是这样一种“超级小白鼠”。只要是从它身上研究出的物理特征,就一定是强相互作用费米超流体所具有的普遍规律,就一定可以往与它成分、相互作用、温度、压强、密度完全不同的中子星的外壳和夸克胶子等离子体身上套用。

那么,研究组究竟要研究哪些物理特征呢?
(三)超流体的两组输运特征
研究组要搞清楚的是超流体的两组输运特征:黏性、热传导率。
所谓黏性,就是用一个系数来描述它是像糖浆那样黏稠,还是像水那样不黏稠。

(图片来源:维基百科)
所谓热传导率,就是用一个系数来描述它是像铁锅一样一烧就烫手,还是像木把手一样随便烧也不烫手。

根据超流体的主流物理模型“二流体模型”,研究组相信,他们只要能把这两组系数测量清楚,就是把强相互作用的费米超流体完全研究清楚了。这两组系数跟超流体传输能量(热)和动量的能力有关,因此,它们都属于超流体的输运特征。
那么,研究组怎样才能在实验中把这两组系数测量清楚呢?
(四)第二类声波的衰减特征
要想搞清楚研究组如何在实验中测量超流体的两组系数,我们还得介绍一个经典世界完全不存在的物理现象:第二类声波。
什么是第二类声波呢?中学物理会告诉你,声波是一种机械振动。当一个物体产生振动时,它就会反复挤压空气,造成附近空气的压强和密度反复变化。当这种压强和密度的振动传到你的耳朵里时,你就听见了声音。

如果你把这股压强和密度的振动传到超流体中,超流体也会发生压强和密度的振动。因此,超流体也会传递声音。

注:根据超流体的“二流体模型”,这里的n和s代表超流体中的两种子成分。这两种子成分共同构成了超流体。
然而,物理学家发现,除了压强和密度的振动,超流体还可以传递一种熵和温度的振动。由于前一种振动是一种声波,所以,物理学家给另一种振动起了一个名字,叫作第二类声波。

注:根据超流体的“二流体模型”,这里的n和s代表超流体中的两种子成分。这两种子成分共同构成了超流体。
通俗地来讲,你可以把第二类声波想象成这样一个景象:超流体中就像一个大型的团体操表演现场。分散在超流体各处的粒子集团,就像团体操中的一个个演员一样,它们本身没有运动,但它们却一会儿举起红牌牌(变成超流体中的子成分n),一会儿举起蓝牌牌(变成超流体中的子成分s)。从近处看,它们都待在各自的位置上,完全没有运动。从远处看,它们的牌牌变来变去,从整体上形成了一股整齐划一的波动。在物理学家看来,这样的波动就是熵(和温度)的波动。

总之,要想测量超流体的两组系数,研究组就得先在超流体中激发起声波和第二类声波,然后分别测量它们的衰减特征。只有先测得声波的衰减特征,他们才能计算出超流体的两组系数来。问题又来了,声波的衰减特征是什么意思呢?
理解声波的衰减特征有两种办法。一是在超流体中激发起一股声波(或第二类声波),然后看它以什么样的速度越变越弱。这种办法很容易理解,但这不是研究组采用的办法。

另一种方法是,在超流体中以相同的强度,激起不同频率的声波(或第二类声波),然后看哪种频率的声波强,哪种频率的声波弱,以及产生的强弱分布的宽度是多少。研究组测量声波衰减特征时,采用的就是这种办法。虽然这种方法有点儿不好理解,但它跟第一种方法是完全等价的(二者仅相差一次傅里叶变换)。

说到这儿,实验背景就基本上交代全了。研究组就是要用锂-6原子制备强相互作用(幺正)极限下的费米超流体,并通过测量它的声波(或第二类声波)的衰减特征,根据超流体研究中的主流模型“二流体模型”,得出这种超流体的两组输运特征系数:黏性、热传导率。
那么,研究组具体是如何做的呢?
(五)实验的结果和意义
首先,研究组把约1000万个的锂-6原子放进了一个立方体形状的空盒子中。

用物理学的黑话讲,他们通过激光与磁场的紧密而又精细的配合,在一个长方形区域中构建了一个势阱,然后成功地让锂原子们悬浮在其中,并将温度降低到大约一亿分之几开尔文。这时,锂原子们就进入了超流体状态。

接着,他们通过让两束激光发生干涉,让盒子像波浪一样上下起伏。

这就相当于将一个移动的光晶格加载到锂原子组成的超流体上。

这时,超流体中催生了一股神秘的波浪。研究组发现,这股波浪既包含了普通的声波,也包含了超流体特有的第二类声波。

于是,他们用刚才我们说的第二种方法,测量了声波(和第二类声波)的衰减特征。

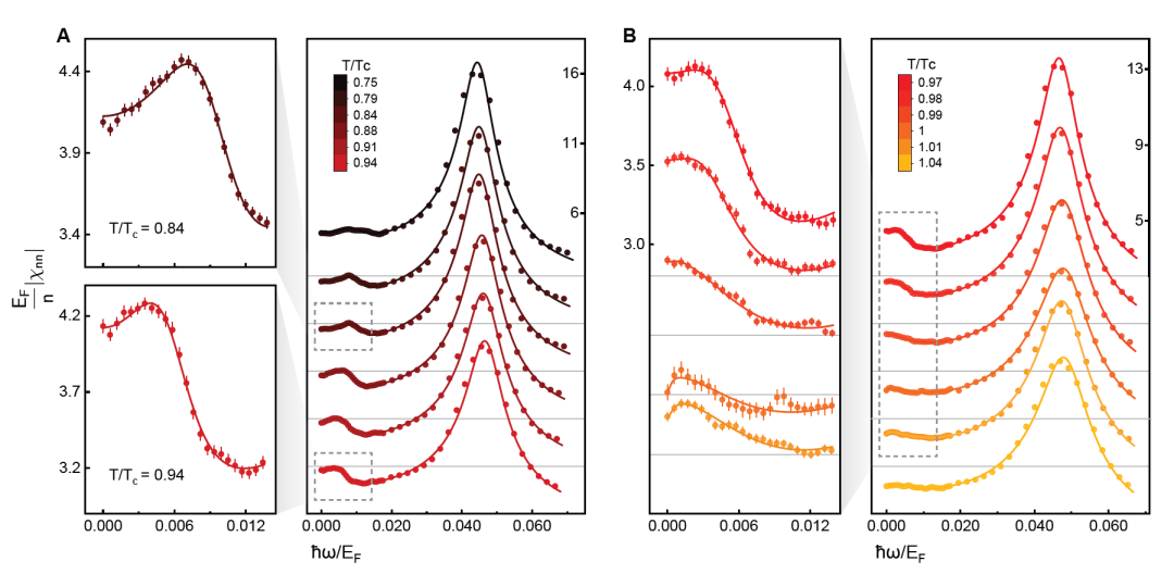
与此同时,他们还在超流体的相变温度附近,测量了输运特征所表现出的物理学家非常重视的临界发散行为。

(注:如图所示,输运特征的数值在相变临界温度附近突然增大)
2022年2月4日,他们的论文发表在了《科学》杂志上。

研究组的实验结果至少有四个层面的意义。
第一,要想让约1000万个锂原子乖乖地形成密度均匀的、温度精确的、能长时间保持稳定的、可以受研究组精确控制的处于强相互作用(幺正)极限下的费米超流体是非常困难的。与此同时,要在这样的超流体身上激发第二声波,并精确测量其衰减特征,也是非常困难的。研究组成功地完成了实验制备和测量,发展了一个可精确调控的多体量子系统,为量子模拟研究打下了基础,这本身就很有意义。

第二,超流体的主流模型“二流体模型”原先是用来描述常规超流体(如氦-4超流体)的。研究组的实验证明,它同样也适用于幺正费米超流体。

第三,研究组的测量结果表明,幺正费米超流体的输运系数均达到了普适的量子力学极限值,例如第二类声波的扩散系数约为

第四,研究组在这种幺正费米超流体身上,发现了一个比氦-4超流体临界区大了约100倍的临界区。有了更大的临界区,物理学家研究他们非常重视的临界发散行为就会方便得多。这一发现为利用该体系开展进一步的量子模拟研究,从而理解强关联费米体系中的反常输运现象奠定了基础。

说到强关联费米体系,你可能会觉得陌生。其实,物理学家日思夜想的高温超导材料,就属于强关联费米体系。
我们希望,在未来,物理学家能够进一步地在实验室中用超冷原子模拟费米超流体,并对它开展更深入的研究。这些研究不仅能帮助我们理解中子星的外壳和宇宙大爆炸早期的夸克胶子等离子体的物理性质,还能进一步揭示强关联费米系统的物理性质,帮助我们获得对这一未知领域的全面认识。
具备了对强关联费米系统的全面认识以后,我们就能够理解和设计有经济价值的高温超导材料啦!

注:本次实验有一个关键。研究组要将锂原子分成两组。他们让其中一组锂原子进入能量最低的塞曼能级状态,而让另一组锂原子进入能量倒数第二低的塞曼能级状态。为什么要把锂原子分成两组不同的状态呢?因为如果不把锂原子分成两组不同的状态,所有锂原子就是完全相同的费米子,即全同费米子。根据泡利不相容原理,全同费米子在空间上无法重叠,相互作用很微弱,无法形成幺正费米子体系。只有将锂原子分成两组不同的状态后,两组锂原子才有可能发生很强的相互作用,从而实现幺正费米子体系。
参考文献:
1. Li X, Luo X, Wang S, et al. Second sound attenuation near quantum criticality[J]. Science, 2022, 375(6580): 528-533.
2. Donnelly R J. The two-fluid theory and second sound in liquid helium[J]. Phys. Today, 2009, 62(10): 34-39.
3. Schaefer T. Quantum-limited sound attenuation[J]. Science, 2020, 370(6521): 1162-1163.
4. Patel P B, Yan Z, Mukherjee B, et al. Universal sound diffusion in a strongly interacting Fermi gas[J]. Science, 2020, 370(6521): 1222-1226.
图片来源:Grossi B, Iriarte-Díaz J, Larach O, et al. Walking like dinosaurs: chickens with artificial tails provide clues about non-avian theropod locomotion[J]. PloS one, 2014, 9(2): e88458.
End
作者:Sheldon
绘制:赏鉴
美指:牛猫
排版:张莹
鸣谢:姚星灿、胡辉、罗翔
(责任编辑:陈卓)
(版权说明,转载自:墨子沙龙公众号)